Sei in: 
»
Come testare un cavo coassiale

Come testare un cavo coassiale

 

Perché i cavi si misurano sulle tratte medio lunghe (100 metri): 

Le misure elettriche specialmente alle alte frequenze richiedono molta più attenzione di quanto si possa immaginare ed è frequente ritrovarsi con valori errati che possono creare confusione. Tralasciando i metodi di misura conformi alle varie normative (ECM, EN, IEC ecc) che richiedono strumenti certificati “LAT” e misure effettuate in atmosfera controllata, vediamo come ottenere risultati attendibili con le comuni strumentazioni.

 

Preparazione del banco di prova: 

Lo strumento (calibrato) va acceso almeno 20 minuti prima della misura, l’ambiente a circa 20°C dovrebbe avere un’umidità relativa < 45%  secondo la norma ISA-TR52.00.01. Connessioni sia dello strumento che dei cavi di lancio e Kit di calibratura perfettamente puliti.


Il cavo da analizzare: 

Per la misura delle perdite di inserzione, (attenuazione), il campione in esame deve avere una lunghezza tale da far rientrare il valore interessato nel range ottimale per lo strumento, in genere tra i -5 e -30 dB e cioè lontani dallo 0 (zero) e dal rumore di fondo. Mentre sul secondo caso l’errore è ben visibile nel display dello strumento e ci fa adottare le dovute precauzioni, nelle misure vicino lo zero si nascondono errori che possono alterare la misura in modo significativo se non in alcuni casi renderla completamente sbagliata. Questo perché nel dato fornito dallo strumento sono presenti oltre le perdite del cavo, le perdite introdotte dalle connessioni, (variabile che può pesare fino a 0.3 db per connettori non professionali), l’attenuazione dovuta al Return Loss dei connettori stessi e l’incertezza dello strumento che può arrivare fino a 0.2 dB per strumenti professionali,  0.7 per apparati semiprofessionali fino a 1 dB per quelli amatoriali. Il valore sommato di questi tre fattori è del tutto sconosciuto ed estremamente variabile. E’ importante quindi allontanarsi il più possibile da esso per fare in modo che “inquini” il meno possibile il valore che ci interessa: la perdita del cavo. Ad esempio se si deve misurare un cavo alla frequenza di 10 MHz dove il valore previsto è di 1.0 dB/100m, è bene effettuare la misura su una tratta di 500 metri di lunghezza in modo da portare la lettura a -5dB, dove un ipotetico errore introdotto di 0.3 dB (0.1dB dello strumento + 0.2 dB delle connessioni) peserebbe solo per il 6%  a fronte del 30%  della stessa misura presa su una lunghezza di 100 mt. Viceversa sarebbe inappropriato prendere su 500 metri l’attenuazione a frequenze molto alte, il valore cadrebbe oltre i -80 dB dove il rumore di fondo coprirebbe la misura stessa. La stessa misura presa con uno strumento non professionale con un’incertezza di 0.5 dB porterebbe ad un errore a 10 MHz/100 m del 70%, che scenderebbe al 14% se ci si spostasse a -5 dB. Normalmente le prove di funzionalità sono effettuate su larga banda es. 1.8 MHz / 8 GHz e vengono prese su lunghezze che vanno da 50 a 200 metri che offrono un compromesso accettabile per quanto detto sopra.
Dichiarare  una misura < 1.0 dB senza conoscere esattamente l’entità dei “disturbi introdotti” non ha senso.

 

Come si effettua la misura: 

una volta pulite le connessioni con prodotti appropriati come alcol isopropilico evitare di toccarle con le mani nude in quanto il sudore può avere un effetto ossidante e isolante. Non è un caso che negli ultimi video di montaggio dei connettori, abbiamo introdotto l’uso di guanti speciali. Si effettua l’azzeramento dello strumento con il Kit di calibratura direttamente sulle sue porte o sui terminali dei cavi di lancio. Anche durante il montaggio dei connettori è utile evitare di toccare direttamente le parti metalliche del cavo e dei connettori. Infine i connettori stessi, andrebbero serrati con una chiave dinamometrica in modo da rendere più costante possibile il contatto maschio/femmina. Un errore frequente è quello di prendere una misura su una lunghezza estremamente corta e rapportarla a 100 metri. Questo può solo dare un’indicazione sulla funzionalità del cavo ma non può essere una misura di riferimento. Se per esempio si misura l’attenuazione di un cavo come L’Hyperflex 13 che a 144 MHz perde 3.6 dB/100 m su una lunghezza di 15 metri, in una condizione ideale dovremmo leggere 0.56 dB. (3.6/100 *15). Sicuramente non si avrà questa misura, in quanto al valore di 0.56 si aggiungeranno le perdite viste prima.  Un ipotetico errore introdotto da uno strumento di misura economico, potrebbe essere anche pari all’attenuazione stessa!  Se si da a questa variabile per es. un valore di 0.4, lo strumento fornirà il dato di 0.96 dB. Ora con il procedimento inverso (0.96/15*100) si ottiene 6.4 dB quasi il doppio dell’attenuazione effettiva del cavo. Questo perché oltre che la perdita effettiva della linea di trasmissione si è moltiplicato per un fattore 7 l’errore di 0.4 introdotto nella misura. Lo stesso errore su una tratta da 100 metri avrebbe conseguenze lievi e diventerebbe trascurabile su lunghezze maggiori. Su misure prese al di fuori di un laboratorio, è bene controllare anche la temperatura del cavo in esame, in quanto questa influisce direttamente sull’attenuazione. E’ utile ricordare che essendo il dB la misura logaritmica tra due grandezze, nel caso si parli di potenza, una piccola variazione del valore in dB porta a variazioni importanti in Watt.


Misure S11 “Reflection”:

essendo l’impedenza e il Return Loss indipendenti dalla lunghezza del cavo, è possibile effettuare queste misure su una tratta qualsiasi, tuttavia è preferibile effettuare la prova su tratte leggermente lunghe specialmente sui cavi a bassissima attenuazione. Anche in questo caso le connessioni hanno un ruolo importante soprattutto le masse e il serraggio che se non perfette creano dei disadattamenti di impedenza con conseguenti onde riflesse che alterano la misura stessa. Questi sono “visti” maggiormente dallo strumento di misura, quanto più bassa è l’attenuazione. E’ bene far fare dei movimenti al cavo e verificare che la misura resti invariata, in caso contrario le connessioni sarebbero da verificare.
L’incertezza dello strumento in questo tipo di misura è quasi sempre trascurabile essendo il valore sempre nel range ottimale dello strumento stesso.

 

METODI DI MISURA PER TESTARE I CAVI COASSIALI
Nell'effettuare un test, è normale procedura fornire le seguenti indicazioni:
1) dichiarare il modello ed il numero di matricola del Vector Network Analizer che si intende utilizzare, ad esempio Rohde & Schwarz Model …., Agilent (HP), etc.
2) I VNA economici sono stati creati per compiti elementari e differenti, e i tecnici di laboratorio debbono frequentare corsi specifici di misurazione presso i produttori e distributori di apparecchiature da misura. Pensare di poter fare con un VNA economico la stessa cosa che si può fare con un Rohde & Schwarz, sembra un po’ troppo ottimistico.
3) fornire il certificato di calibratura dello strumento che per essere ritenuto attendibile va effettuato ogni anno secondo le norme ISO 9001.
4) descrivere il (costoso) Kit di taratura, nonché il relativo certificato di calibratura annuale dello stesso.
5) Effettuare il test ad una temperatura compresa tra i 20°C. e non oltre i 24° c. (più alta è la temperatura più alta risulterà l’attenuazione come spiegato a pagina 33 del nostro attuale catalogo).
6) La misura va effettuata rigorosamente con connettori “N” connessi allo strumento, (in quanto i connettori UHF(PL) sono un compromesso non accettabile ai fini delle misurazioni). A tal scopo è utile prendere visione sul nostro sito delle corrette istruzioni di montaggio step by step.
7) Prima di ogni misura va effettuata la calibratura dei tre parametri, (Attenuazione, Return loss, Costanza di impedenza), azzerando i valori. (Procedura di calibrazione)
8) La nostra azienda effettua la lettura su 1000 punti per la banda 100 KHz - 8 GHz.
9) Per motivi di praticità, I produttori normalmente eseguono i test direttamente sulla matassa o bobina confezionata , cosa che peggiora di poco i valori di attenuazione entro livelli accettabili. La condizione ottimale è quella di svolgere il cavo a terra facendo bene attenzione a non calpestarlo e a non creare nodi (vedere immagini sotto). La creazione dei nodi è uno dei pericoli più grandi quando si tira in posa un cavo, specie se si svolgono i cavi dal centro della matassa, formando una elicoide. Lo svolgimento corretto consiste nel mettere il proprio avanbraccio ponendolo a sostegno al centro della matassa, e poi svolgerlo in linea retta. Un nodo equivale a grave danneggiamento del cavo e non è più recuperabile. Effettuare test su un cavo danneggiato precedentemente per mezzo di un calpestamento o di nodi, invalida ogni risultato. I cavi ultraflessibili sono stati progettati con l’intento di raggiungere la miglior flessibilità possibile, mentre garantiscono la migliore possibile attenuazione. D’altro canto, i cavi sono più suscettibili ad essere danneggiati in caso di uso scorretto o abuso. Cavi come il nostro Airborne 10, avendo una guaina in polietilene, sono robusti come carri armati, al costo di una minore flessibilità.
E’ proprio come per le automobili: puoi avere una decappottabile, una Station Wagon, un SUV o una Coupè. Sono tutte automobili ma con diversi ruoli e specializzazioni. Per quanto riguarda la pubblicazione del test, l'editore o chi si assume la responsabilità dell'articolo deve attenersi alle seguenti condizioni, sempre tenendo a mente cosa è legalmente possibile e cosa no. Il proprietario del marchio registrato, il cui prodotto è sottoposto alla misura, deve essere preventivamente informato del luogo e la data del test effettuato. Lo stesso ha il diritto di partecipare al test e a ripeterlo con la propria strumentazione come contro-test. Il modello, la marca e il numero seriale della strumentazione e la data di uno valido certificato calibrazione, rilasciato da un laboratorio accreditato, devono essere dichiarati. Ex. TUV, Accredia, IMQ ecc. La copia del certificato deve essere disponibile a chiunque ne richieda una.
Lo stato di conservazione dell'oggetto sottoposto al test deve essere esplicitamente dichiarato e dimostrato.Tutto questo per evitare che dietro la pubblicazione non ci sia l’intenzione di screditare un'azienda o un marchio a favore di altri...

 

 

 

 

Perdita di potenza in relazione alle onde stazionarie

Quando si esegue un test, è essenziale considerare innanzitutto la differenza di attenuazione tra i cavi sottoposti a test.
Anche l'attenuazione del cavo deve essere presa in considerazione.

È noto che un cavo con una perdita di inserzione molto bassa ha in genere un RL più elevato, poiché il segnale riflesso subisce la stessa attenuazione del segnale diretto.

Esempio: supponiamo di avere due linee di trasmissione con lo stesso disadattamento di impedenza, con un RL di 12 dB. La prima ha una perdita di inserzione di 5 dB, la seconda di 10 dB. Nel primo caso, misureremo un RL di 17 dB (RL-Att) al trasmettitore e nel secondo caso di 22 dB. Le perdite causate dalla perdita di ritorno sono le stesse, solo che le vediamo "mascherate". Lo stesso vale per le onde stazionarie intrinseche del cavo stesso; maggiore è la perdita di inserzione, minore è il ROS.

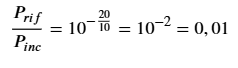
Ad esempio, per un ROS di 1,2 (circa -20 dB),

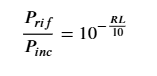
la perdita di ritorno (RL) espressa in decibel rappresenta il rapporto logaritmico tra la potenza incidente (P i nc) e la potenza riflessa (P r i f).
La formula per determinare il rapporto lineare della potenza riflessa è:

 

Fase 2: Calcolare il rapporto lineare

Sostituendo il valore di 20 dB nella formula:

 

Passaggio 3: Convertire in percentuale.


Per ottenere la perdita percentuale, moltiplichiamo il rapporto lineare per 100: 0,01 x 100 = 1%

Ciò significa che il 99% della potenza viene trasmesso al carico, mentre l'1% ritorna alla sorgente a causa del disadattamento di impedenza.

Esempio più semplice:

Con una potenza di 100 W, ho un RL di -20 dB, quindi parte del segnale ritorna attenuato di -20 dB.

Att/10 = 20/10 = 2
102 = 100
P/100 = 100/100 = 1W = 1%

con attenuazione di -10 dB

10/10 = 1
101 = 10
100/10 = 10W (persi) = 10%

Messi & Paoloni Srl - Via Giovanni Conti, 1, 60131, Ancona (AN) - Codice Fiscale e Partita IVA 00109100420 - Iscr. Reg. Imprese 00109100420 - E-Mail: web@messi.it Iscr. R.E.A.: 26383 - Capitale Sociale ¬ 46800 interamente versato -

© EGESTX ENGINE (COPYRIGHT © 1995 - 2026 NTX WEB BUSINESS) - All rights reserved.

Scegli
Varianti

Seleziona le varianti da aggiungere nel carrello
Step
1/2
Aggiungi tutti

{{ContenutoVarianti.DescrizioneArticolo}}

{{Record.DescrizioneEtichettaVariante1}}: 
{{Record.DescrizioneVariante1}}
{{Record.DescrizioneEtichettaVariante2}}: 
{{Record.DescrizioneVariante2}}
{{Record.DescrizioneEtichettaVariante3}}: 
{{Record.DescrizioneVariante3}}
{{Record.DescrizioneEtichettaVariante4}}: 
{{Record.DescrizioneVariante4}}
AGGIUNGI AL CARRELLO
{{Record.Prezzo}}€
-
{{Record.MinimoOrdinabile}}
+

{{item.NomeProdotto}}

{{item.Etichetta1}}: 
{{item.Variante1}}
{{item.Etichetta2}}: 
{{item.Variante2}}
{{item.Etichetta3}}: 
{{item.Variante3}}
{{item.Etichetta4}}: 
{{item.Variante4}}
{{ContenutoCarrello.TestoElimina}}
€{{item.PrezzoEUScontato}}
-
+
{{ ContenutoCarrello.TestoCarrelloVuoto }}
Caricamento in corso...
{{ContenutoCarrello.TestoTotaleParziale}}
({{ContenutoCarrello.TestoIva}})
€{{ ContenutoCarrello.TotaleEuro }}

{{ ContenutoArticoliPlus.LblArticoliAcquistatiCon }}

{{ item.Descrizione }}
{{ ContenutoArticoliPlus.LblCod }}:
{{ item.CodArtMerchant }}
Ruota il tuo dispositivo.